Salesforce

Sound Metrics: Speech Interference Level

« Go Back

Information

 
TitleSound Metrics: Speech Interference Level
URL Namesound-metrics-speech-interference-level
Summary
Details


Direct YouTube link: https://youtu.be/u8uqWfz7-98


Sound Metrics: Speech Interference Level

Wheel.gif

All sound metrics are used to help quantify various aspects of a sound or a noise. As the name suggests, speech interference level (SIL) was first created to give an estimate of how much a given noise spectrum will disrupt, or interfere with, effective speech communication. One common area of confusion related to speech interference level arises from the various forms it can take, and how they are different. This article will briefly discuss the history and origination of SIL, describe the different variants of SIL that exist in use today, illustrate how to calculate the different forms of SIL in Simcenter Testlab software, and make note of some important considerations when using SIL.

This Speech Interference Level article will cover:

  1. History and origin of Speech Interference Level
  2. Various formulations of SIL
  3. Calculating SIL in Simcenter Testlab
  4. Important considerations regarding SIL


1 – A brief history of Speech Interference Level

Much of the current understanding of speech intelligibility comes from research performed around the time of World War II. Scientists at Bell Telephone Laboratory (N.R. French and J.C. Steinberg), along with Leo L. Beranek at Harvard University (who was working on improving speech communications for aircraft pilots as part of the war effort) devised several methods to quantify the effectiveness of human speech communication for a given background noise level. The main result of their work was the metric for Articulation Index. However, articulation index and other similar methods required rather complex calculations, and as a result were impractical for most applications at the time. There existed a need for a simple, single number metric that could be used to quickly give an estimate of the level of noise in the frequency bands critical to speech communication. This number could then be used to infer how difficult voice communication might be given a noise spectrum. Thus, the Speech Interference Level was born.

The original formulation of SIL came from studies on the effectiveness of conversation in aircraft during flight. Beranek showed the number of words heard correctly between a talker and a listener was highly correlated with the average of the noise levels (in decibels) of three octave-frequency bands: 600-1200 Hz, 1200-2400 Hz, 2400-4800 Hz. This method provided a straight-forward calculation that related the level of noise in the aircraft to the effectiveness of speech communication. Think of this as the original “SIL”. It is not standardized, nor currently in use in its original form.

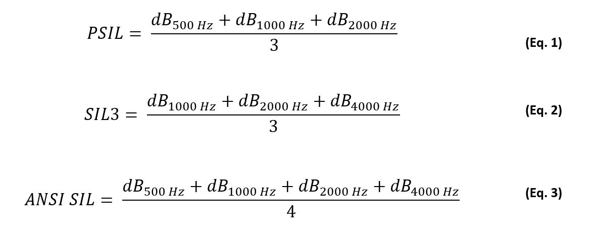
Several years later in 1967, the Acoustical Society of America standardized the octave-frequency bands used for noise analysis. The new standardized octave-frequency bands were to have center frequencies based on the sequence of “Preferred Numbers”, which resulted in center frequencies at multiples and sub-multiples of 1000 Hz. Thus, the octave bands (and 1/3rd Octave bands) we know today are a result of this standardization. Using the new “preferred number octave bands”, the SIL became the “PSIL”, or “preferred-octave speech interference level”. It is the octave band naming that is “preferred”, not the speech interference level metric calculation. PSIL is not described in any international standard but is commonly used across industries. PSIL is the average of the 500, 1000, & 2000 Hz octave bands.

In 1977 American National Standards Institute standardized the speech interference level, and included 4 octave bands: 500, 1000, 2000, 4000 Hz. This is “ANSI SIL”, “4-band SIL”, or simply “SIL”, as it is the only standardized form of speech interference level.

Some industries, most notably the aviation industry, instead choose to use the 1000, 2000, 4000 Hz bands in the SIL calculation for various reasons. This calculation method is not standardized, and is known as “SIL3” in Siemens Simcenter Testlab software to differentiate it from PSIL and ANSI SIL.

2 – Various formulations of SIL

All the different forms of speech interference level are calculated by taking the arithmetic mean of un-weighted, full-octave band sound pressure levels, as expressed in decibels (dB). The only difference between the various forms of SIL is the octave bands included in the calculation. The various forms are listed below:SIL formulations.jpg

2.1 – Example calculations

The spectrum below is used to calculate each of the formulations of SIL (see Figure 1). Decibel amplitudes for each of the octave bands are shown in the legend of the plot. Note the X-axis shows full octave bands (1/1 as opposed to 1/3rd) and the Y-axis is un-weighted decibels (not dB(A)).

Fig1_spectrum.png
Figure 1. An octave noise spectrum is shown. Amplitudes for each of the octave bands can be seen in the legend.

 

Calculations.png

Often the SIL in decibels is used in conjunction with a chart like the one shown in Figure 2 below. This diagram provides a method of relating the speech interference level and distance between speaker and listener to a level of effort required for reliable communication. Ideally the environment is designed so the intersection of the lines corresponding to the measured SIL and the distance between the speaker and the listener occurs within the blue shaded region (or below, in terms of SIL). This allows for highly reliable speech communication without added fatigue or information loss.
 

Fig2_chart.png
Figure 2. Rating chart for determining speech communication capability from speech interference levels. (Adapted from Foreman, Sound Analysis and Noise Control, Figure 7.4)

For example (Figure 3 below): Given the ANSI SIL calculated earlier of 85.00 dB, the chart in Figure 2 can be used to determine how effective speech communication will be between a pair of communicators. If the communicators are 1 foot apart, the chart shows the intersection is within the “Communicating Voice” envelope, and verbal communication should be easy and effective. However, if the distance between the communicators is increased to 8 feet, the background noise (SIL = 85.0 dB) will make verbal communication impossible. If the noise level cannot be lowered, and the speaker and listener cannot be moved closer together, some other type of amplification or communication system must be employed.

SIL.gif
Figure 3. Chart relating SIL and speaker/listener distance to ease of communication. The higher the SIL, or the further away the two communicators, the more difficult the speech communication.

3 – Calculating SIL in Simcenter Testlab

Due to the fact that speech interference level is calculated on an octave-frequency band basis, it should be noted that there are multiple ways to calculate and display octave-based frequency information in Simcenter Testlab (formerly known as LMS Test.Lab). These different methods can be broken down into two main categories: FFT-based octaves, and Filter-based octaves.

3.1 – FFT octaves: This method is simply a display technique and will not be exact according to any standard that uses or references octave bands. FFT octaves are fixed-sampled, narrow-band frequency spectra lumped into amplitude groups corresponding to octave band frequency limits. For example, if fixed-sampled narrow band frequency data is added to an “Octave” display in Testlab, the software groups the data into the appropriate frequency bands and takes an RMS of the narrow-band amplitudes. This is shown in Figure 4 below.

Fig4_FFT_octave.png
Figure 4: Narrow band frequency data displayed in two different plot formats. Top: Linear “Front/Back” display, Bottom: Logarithmic “Octave” display.

The source data is the same between the top and bottom displays. By definition* the 1000 Hz 1/1 octave band has a minimum frequency of 707.95 Hz and a max frequency of 1412.54 Hz. Placing a double-x cursor on the upper narrow band plot and calculating the RMS of this band shows the same amplitude as the octave plot. FFT octaves are a convenient way of viewing narrow-band frequency data in octave and 1/3rd octave formats without requiring the usage of time-domain filters during acquisition or post-processing.

*By default, Testlab uses “Ideal Base 10” frequency definitions for FFT-based octaves as described in ANSI S1.11-2004.

3.2 – Filter-based Octaves: The standardized method for calculating octave band amplitudes is to employ a series of time-domain band-pass filters on the incoming transducer signals. These filters have themselves been standardized by the Acoustical Society of America, in conjunction with the American National Standards Institute and International Electrotechnical Commission (IEC). The specifications for the octave band filters are set forth in ANSI S1.11-2004: “Specification for Octave-Band and Fractional-Octave-Band Analog and Digital Filters” and IEC61260:1995: “Electroacoustics – Octave-Band and Fractional-Octave-Band Filters”.

Unlike the FFT-based octaves, which place a razor-sharp edge to the frequencies at the limits of the band (for instance the 1kHz band is all frequencies from 707.95 Hz – 1412.54 Hz, inclusive) time-domain filters have a filter shape, pass band, and roll-off associated with the filter. This means the frequencies (particularly at the edges) of the octave band are treated differently than with FFT-based octaves. See Figure 5.

Fig5_octave_filters.png
Figure 5: Time-domain octave filters affect the frequency content of a signal differently than FFT-based octaves.

Time domain filters are not capable of knife-edge corners at the edges of the pass-band like the FFT-based method, they must decrease the amplitude more gradually, or “roll off”. This roll-off means that frequencies in the region between center-frequencies of neighboring bands will participate in more than one octave band. This is the case for the shaded region of Figure 4 – these frequencies will contribute to the overall level of both the yellow colored 1kHz octave band as well as the green 2kHz octave band (albeit at reduced amplitudes). This effect highlights the importance of utilizing octave filters that adhere to a widely accepted standard, particularly when comparing data across different organizations, regions or industries. If all data is acquired/processed using standardized time-domain filters, the effects of the filter will be the same for every case.

To use the ANSI-IEC standardized octave filters in Testlab, the user must first turn on the corresponding Add-in. Add-ins can be turned on and off by clicking: Tools > Add-ins in Testlab and checking on the box for “ANSI-IEC Octave Filtering” as shown in Figure 6 below. This Add-in uses 23 Tokens and will add an “RTO” tab to certain processing areas of Testlab. RTO stands for “Real Time Octaves”.

Fig6_RTO_TL.png
Figure 6: ANSI-IEC standardized octave filters are available in Simcenter Testlab via the Add-ins menu.

3 – Calculating SIL in Simcenter Testlab (Continued)

The various forms of SIL can be added to the legend of any frequency spectrum (regardless of whether that spectrum was created using fixed-sampling or real time octaves) by right-clicking on the border of the curve legend, then clicking “Options…” as shown in Figure 7 below.

Fig7_SIL_in_Legend.png
Figure 7: SIL in its various forms can be added to the curve legend in any  SImcenter Testlab frequency plot.

The Curve Legend Options dialogue box will appear. Click on the “Calculated Content” tab along the top of the window. In the list of available functions will be the three forms of SIL as previously described. Highlight the desired metric in the left window and click the “Add to selection” arrow in the center as shown in Figure 8.

Fig8_Legend_cont.png
Figure 8: Adding speech interference level metrics to the curve legend.

When adding multiple metrics to the curve legend it is sometimes helpful to include a descriptor using the “Prefix” box as shown in Figure 9. Text added here will be added to the legend before each selected metric, and will help the clarity of the information in the legend, particularly when multiple metrics are added at the same time. See Figure 10.

Fig10_legend_final.png
Figure 10: Finalized plot showing calculated SIL metrics in the curve legend, including prefixes.

3.3 – SIL vs Time

The various forms of speech interference level can also be plotted versus time (or RPM, or any other tracking parameter) to see how the SIL values change over the course of a test (see Figure 11 below). This functionality requires the Sound Quality Metrics Add-In.

Fig11_vs_Time.png
Figure 11: The various forms of speech interference level plotted versus time.

The various formulations of SIL can be found on the “Psychoacoustic Metrics” tab, which is in the “Sections” portion of the Time Data Processing worksheet. To specify the use of the standardized ANSI-IEC time-domain filters, select the “Psychoacoustic Metrics RTO” tab as shown below in Figure 12.

Fig12_STPP.png
Figure 12: The “RTO” tabs of Time Data Processing utilize time-domain filters for octave-based calculations.

4 – Important considerations for using SIL

  • Un-weighted, full octave bands The calculation for speech interference level (all forms) calls for the use of un-weighted frequency data, grouped into whole octave bands centered around 1000 Hz. Acoustic data, particularly when viewed in octave formats, is typically viewed in 1/3rd octave bands, and often A-weighted. This is because the 1/3rd octave bands are a good approximation for the way the human ear hears and groups frequency. The spectrum is often A-weighted to account for the low sensitivity of the human ear to low frequency. Care must be taken to use the correct format data in the calculations when calculating SIL by hand. Testlab plot legends will always show the correct value, even if the spectrum is plotted as narrow-band, 1/3rd octave, or A-weighted.
  • Averaging dB can be misleading The calculations for the various forms of speech interference level shown in Equations 1-3 are a straight-forward arithmetic mean of the decibel values for the octave bands. This makes the calculation simple but can lead to a result that is not representative of the actual spectrum. For example: consider two aircraft environments, both of which have a ANSI SIL of 60 dB. Aircraft A has octave levels of 60, 75, 60, 45 for the 500 Hz, 1000 Hz, 2000 Hz, 4000 Hz octave bands respectively. Aircraft B has octave levels of 59, 60, 63, and 58 dB. With a 15 dB difference in the level of the 1000 Hz octave band these two aircraft environments will be drastically different for an occupant, though the SIL calculated levels are the same. In general practice, when averaging sound pressure levels it is always best to return the decibel to the base unit (in this case Pascals) average those levels, then return the average to dB.
  • Use as a measure of generic noise level SIL3 (Average of 1kHz, 2kHz, 4kHz bands) is often used in the aircraft industry as a simple way to establish how noisy the cabin of the aircraft is. This can lead to problematic assessments. Consider the noise levels from the aircraft example above – the SIL calculated is 60 dB, despite the fact that the amplitude of the 1000 Hz octave band in aircraft A is 75 dB. The perceived noise level in this environment will be very different than aircraft B, and is underrepresented by a simple SIL of 60 dB.
  • Omission of 500 Hz frequency band Lower frequency bands can be very important for speech intelligibility depending on the spectrum. Beranek had shown in his research that under certain circumstances (when the amplitude in the 300-600 Hz octave band was 10 dB greater than the amplitude of the 600-1200 Hz band) speech intelligibility was affected by this lower frequency range and should be included in the calculation. SIL3 excludes the 500 Hz octave band (354.8 Hz – 707.9 Hz) regardless of the amplitude. This can make the SIL3 number less helpful than ANSI SIL when considering speech interference.

 

Questions? Contact macdonald@siemens.com

 

Related Acoustics Links:


Powered by