Salesforce

Multi Input Multi Output MIMO Testing

« Go Back

Information

 
TitleMulti Input Multi Output MIMO Testing
URL Namemulti-input-multi-output-mimo-testing
Summary
Details


Direct YouTube link: https://youtu.be/1-09dQQLQMg

 

Multiple Input and Multiple Output (MIMO) Testing can have different meaning to different people. In the general sense, it means the vibration, or noise, input from multiple drive signals to a system in an Multiple Degree of Freedom (MDOF) configuration.  There are multiple measured output responses from a fixture, test item, or acoustic volume in an MDOF configuration. The general concept is depicted in Figure 1.

Figure 01.jpg

Figure 1: A MIMO system with 3 inputs and 4 outputs. Test results will have 12 transfer functions.

The inputs and outputs of a typical MDOF test are typically viewed in two ways: time or frequency. The time domain version is called Time Waveform Replication, (MIMO TWR).

This article is focused on the frequency domain version, of which there are various applications based on the sinusoidal or random nature of the input and corresponding output signals.

Applicable test scenarios regarding MIMO testing include the following:

  • Structural Testing for FRF Measurements in Open-Loop Mode
  • Environmental Testing with Closed-Loop Control
  • Acoustic Testing with Closed-Loop Control

The first two structural scenarios are addressed in this article, with a separate article discussing the acoustic aspect of MIMO testing.

When it comes to MIMO vibration testing, the proper excitation of the structure is very important. For structural Frequency Response Function (FRF) measurements, one wants to make sure that all modes of interest are excited, and the FRF estimation is able to properly separate and assess the signal coming from multiple exciters, to form the matrix of FRF’s. This will allow the determination of modes when there’s a small separation in frequency, called “closely spaced modes”.

For the case of Environmental testing, there are standards that prescribe the response levels that are required. The total response at each control point can be due to the multiple excitation sources, each with an independent contribution to the response. The amount of excitation energy from each source must be extracted from the response signal at each control point by the control system, so each source can be independently updated by the controller to maintain the proper response at the control points.

This article contains the following sections:
1. Structural Testing (Open-Loop)
2. Environmental Testing (Closed-Loop)
   2.1 Multi Exciters in Multiple Axes (MEMA)
      2.1.1 MEMA Test using 3DOF Shaker 
      2.1.2 MEMA Test using Multiple Shakers in Any Axis
   2.2 MIMO closed-loop Testing Strategy
      2.2.1 Boundary Conditions
      2.2.2 Excitation Sources
      2.2.3 MIMO Control Targets
3. Why MIMO Testing
4. Conclusion


1. Structural Testing (Open-Loop)


Direct YouTube link: https://youtu.be/zDONWwVBDVQ


For the Structural FRF Test scenario, this has to do with the objective of transfer function measurements, typically in the context of a modal test. Some common modes of excitation for transfer function measurements are depicted in Figure 2.

    User-added image
    Figure 2: Time and frequency domain representations of different MIMO excitation signals used in FRF Measurements.


    Modes include:

    These types of tests are open-loop tests, where the output levels are established ahead of the test and are not controlled as feedback from the responses to the controller system.

    There are however limit levels that are continuously checked in real-time as the test progresses to ensure these are not exceeded. So, the control may not necessarily be a closed-loop test, but the safety checks are.

    Another aspect of exciting a structure with Multiple-Inputs concerns the extraction of the modal parameters (the ultimate goal for such a test) from the matrix of measured FRF’s. To calculate the FRF’s, the independent excitation energy from each source, is extracted from each response. For extraction of each source signal from the overall response to be possible, the excitation signals must be decorrelated. This is not trivial, since the shakers are connected to the same structure which creates a certain degree of correlation.

    There are functions available in Simcenter Testlab to assess this decorrelation in the form of Principle Component Analysis (PCA), these functions can be displayed during the test to verify that the number of independent sources detected in the responses, match the physical number of independent sources. If there is sufficient decorrelation, then the quality of the FRF data improves, which eventually results in a higher quality modal parameter estimation. It is imperative to assess the quality of the FRF as it is being acquired, and viewing different functions such as the PCA can help in the assessment.

    2. Environmental Testing (Closed-Loop)

    For the Environmental Testing scenario, the responses from the test article must adhere to a level which is typically established from published standards, or can be measured data from the field in operational conditions, and the frequency spectrum representation of this data must be replicated in the lab. This scenario requires a closed-loop controller, which can imply either a single shaker or multi-shaker case. The MIMO random version of this type of test is shown with a 3DOF shaker system in Figure 3.
     

    User-added image
    Figure 3: A MIMO closed loop vibration control test using a 3DOF shaker and the Simcenter Testlab MIMO Random Controller.


    There can be many different varieties of environmental testing, and can be categorized as either Single-exciter or Multi-exciter tests. For the single input version please see the related article, “What is Vibration Control Testing?” For this current article we will focus on the Multi-exciter case, for which there can also be several different versions to the strategy used. Some of the most common terms related to environmental testing regarding this are summarized here.

    • MIMO Multi Input (>1 Drive) Multi Output (>1 Control point)
    • SIMO Single Input (=1 Drive) Multi Output (>1 Control point)
    • MESA Multi Exciter (>1 Shaker) Single Axis
    • MEMA Multi Exciter (>1 Shaker) Multi Axis

    There can be many different reasons and objectives for choosing one of these versus another, or sometimes a combination of these. For this article we will discuss the MEMA case, which is the most general form. 

    2.1 Multi Exciters in Multiple Axes (MEMA)

    The multi-exciter multi-axis case is the most general form of a MIMO environmental test, and the most complex and difficult in terms of test setup and control. The upside though is this case probably is the best method for achieving the realistic responses throughout the DUT due to the operating conditions, which is the overarching goal of environmental testing. This is becoming more recognized in the environmental testing community, and at the same time the MIMO testing technology continues to evolve to support this direction.

    There are a couple of different forms of MEMA testing, and we will discuss first the 3DOF shaker case, and then the more general form of MEMA testing with multiple shakers in any axis.

    2.1.1 MEMA Test using 3DOF Shaker

    For the case where simultaneous excitation of all 3 axes are required, the 3-Degree-of-Freedom (3DOF) shaker can be used, as shown in Figure 4.
     

    User-added image
    Figure 4: With a 3DOF Shaker, the 3 orthogonal axes can have the same or independent control spectrums. A Multi-axis controller is required due to the mechanical cross-coupling of the 3 shakers.


    These are 3 single-axis shakers in a single system. Inside the center casing is an elaborate mechanical linkage whose goal is to allow the uncoupled response in the three orthogonal directions, so that if energy in any one single direction is provided, then the response in the other two directions is null or as close to zero as possible. To achieve this feat is extremely difficult, if not impossible to achieve, which means a “multi-axis” control strategy must be used in this case.

    For the 3DOF shaker scenario, how the test specifications are determined is still a current hot topic of debate in the scientific community; however the easy solution is to use the reference spectrums that would normally be used in 3 sequential single-axis tests, and use these as the control targets for the 3DOF shaker test. The execution of this test can produce profoundly different results in terms of time and spectral response of the DUT at response points around and inside the structure, so the goal of getting the same results as the 3 sequential test scenario in reality cannot easily be achieved. However in the end, again the goal of representing real-life responses in operational conditions can be argued are better achieved with a 3DOF test versus the 3 sequential tests. This can be quantified by evaluating the durability results from three sequential qualification tests versus a single 3DOF test. There have been many studies to show this, and some results are discussed further in this article.

    There is also a business case to support the use of simultaneous excitation using the 3DOF shaker, which combines three sequential tests into a single test, as depicted in Figure 5.

    User-added image
    Figure 5: Combining three sequential tests (top row) into a single 3-axis test (bottom) can provide justification for the cost of a 3DOF controller and shaker.


    However this must also be weighed with the much higher cost of such a system. An extension of the 3DOF test would also include the rotational degrees of freedom with a 6DOF shaker system, again expanding on the complexity of the shaker system and controller.

    2.1.2 MEMA Test using Multiple Shakers in Any Axis

    This is the most general form of MIMO closed-loop control testing. An extreme case of this is give in the Figure 6.

    User-added image
    Figure 6: Multiple Exciters applying excitation energy in several different axes at many points on the structure allow a better distribution of energy to achieve better results in terms of responses around the structure. This case was to simulate the excitation forces due to aerodynamic loading.


    The case studied here was to reproduce the responses around the scaled missile, by replicating the aerodynamic excitation that it would see in real operating conditions. This particular case studied was also comparing the results of a MEMA test with what is typically achieved with three sequential single-axis (SIMO) tests, and to show how different they can be. The small white disks are piezo-exciters. The interaction (coupling) of these among each other was characterized through some measurements, and the information was used in the closed-loop control.

    In the extreme case where there is a controlled excitation source for each of the multiple control responses, this would be the best in terms of response replication. However there are of course practical limitations to this, but since there would be some coupling between the excitation sources, this can be used to an advantage, Musella: Optimizing the Drives in a MIMO Control Test . By utilizing these “coherent sources”, it can be easier to achieve the desired responses. This concept is very well explained in the corresponding technical paper, (Enhanced ground-based vibration testing for aerodynamic environments – P.M. Daborn, P.R. Ind, D.J. Ewins), and will be expanded upon in the next section.

    2.2 MIMO Closed-Loop Testing Strategy

    There are several aspects to consider when performing a MIMO closed loop test.

    2.2.1 Boundary Conditions

    As has been already mentioned in this article, and a fundamental aspect of dynamic environmental testing, is that the support and suspension and the corresponding boundary conditions in the lab must replicate, or be as close as possible, to what is given in the real scenario from which the responses were derived, or at least be free enough to allow the replication of the responses from the exciters. This is a key factor in determining if a successful test is even possible. Another way to put it is that the responses that need to be reproduced in the lab with artificial excitation must be “Physically Realizable”, given the test setup.

    2.2.2 Excitation Sources

    Another consideration are the exciters themselves. The means by which energy enters the system or Device Under Test (DUT) in real life conditions also should be replicated as close as possible in the lab. The artificial excitation energy is normally input to the structure through electro-dynamic, or piezo-electric shakers. Understanding the modal properties of the structure being tested can be key to determining the optimal exciter input locations. The input energy from multiple excitation sources can have an influence on each other, and this interaction is what is called "coupling" (Figure 7).

    User-added image
    Figure 7: A structural test on aircraft engine with two modal shaker exciters. During the test, these exciters will probably exhibit coupling.


    The interaction of the excitation sources also have influence on the responses at points around the structure. The amplitude of the responses at the control points can be due to the interaction of multiple sources and the amplitudes of the excitation source as a function of frequency. This is a complex interaction, meaning it is not only the amplitude of the source interactions, but the phasing of the sources and how this influences the response amplitudes.

    For example, if the amplitudes from two sources are in phase with each other at a point on the structure, or in an acoustic volume for the acoustic case, then there is “Constructive Interference”, and the amplitudes can add with each other. If they are partially or completely out of phase with each other, then they will have “Destructive Interference” with each other. (Figure 8).
     

    User-added image
    Figure 8: Constructive versus Destructive Interference of the Exciter Forces


    This complex interaction is frequency dependent, and can be characterized through the Cross-Spectrum function, and is measured during the System ID phase of a test.

    Adding more exciters to the system adds to the complexity of this interaction, and this interaction can be quantified by the Coherence function. So when the term Coherent Sources are used, that simply means there is some level of complex interaction of two sources with each other at some point where the interaction occurs. This other point being referred to could be either a control point, or a response point. If there are multiple coherent sources acting at a control point, then the amount of energy which is output from a single source can be reduced to obtain the desired response. The interaction of the sources could be “Incoherent”, meaning completely out of phase, (coh = 0), “Partially Coherent”, (coherence 0<Coh<1, or “Fully Coherent”, (coh=1). This interaction is what can amplify or attenuate the response at the points on the test structure, and can be taken advantage of with the controller. On the other hand, if there are coherent sources acting at a point which is not controlled or monitored, then the response can be greater than what is desired.

    Getting back to the boundary conditions, the locations of the source points, and the coherence between the sources, can all have profound effects on the responses that need to be produced at the control points around the structure. You can also gain an understanding on how these can have an effect on the “Physical Realizability” and hence the success of the test. The best case scenario for the lab setup of a MIMO Control test is where the boundary conditions are the same, or as close as possible, as in real conditions which occurred during the data measurement. This also increases the chances of a successful test.

    For some environmental tests the control point can be located at the base of the rigid support structure where the shaker table attaches to the structure. This can be used as the target response point and using the spectrum as control in each direction of a 3DOF shaker test, as shown in Figure 9.
     

    User-added image
    Figure 9: For the 3DOF setup, a single-axis accelerometer can be used for each axis, or a Triaxial accel can be positioned at the center of the shaker head expander. A MIMO Controller is required when cross-coupling of the exciter forces occur.


    2.2.3 MIMO Control Targets

    Measuring the transfer function matrix of the different drive voltage sources relative to the response points is done prior to the test and is called the “System ID” phase of the test. During this step, the controller ‘gets to know’ the dynamics of the system (amps+shakers+DUT) and measures (and saves) the System Transfer Function matrix necessary to compute the drive signals to the different shakers. For this reason it is important that the FRF matrix which is obtained is as decorrelated as possible (in mathematical terms this makes the FRF invertible).

    Regarding the online control of the test, just like in a Single-axis test, the success criteria of a MEMA test is based on the feasibility of the response targets; however, unlike a single axis-test, the target level is no longer a single Power Spectral Density (PSD) spectrum vector but a whole Spectral Density Matrix (SDM) which includes the Cross-Spectral-Density (CSDs) between each control channel, (Figure 10).

    Figure 10.jpg

    Figure 10: The target Spectral Density Matrix (SDM) is defined as the target Autopowers at the control points and corresponding Crosspowers between each control point. The SDM components are measured prior to the start of the control test during the SysID phase and are also used as target spectra.

    These CSDs capture the complex interaction of the different control points vs frequency. During such a MEMA test, it is therefore crucial to set CSD targets which are physically achievable. To respond to this need, the CSD’s are measured and saved prior to the MIMO test during the System ID phase described above.

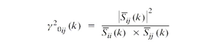
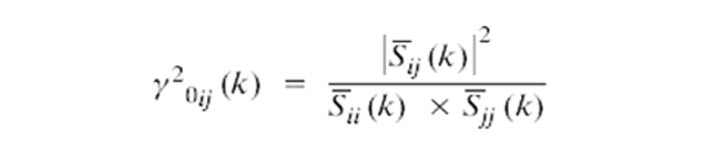
    The Diagonal AP spectrum (PSDs) are the targets that are defined by the requirement spec, as would be done for a single-axis control test. The off-diagonal terms are the Crosspowers as measured during the System ID phase (and which therefore capture the dynamics of the system being tested). These combined AP and XP functions are related and also define the spectral Coherence (Figure 11) between the different control points through the equation:

    Figure 11.jpg

    Figure 11: The Coherence Function. The control of the target points considers the AP’s and also the XP’s of each control point with every other control point. These spectrums are what make up the Spectral Density Matrix, and are related to the coherence.

    During a control test, the response APs and XPs are measured and updated through averaging. Using the system transfer function from the SysID phase, the controller will quantify the errors of the target and measured SDM, and update the drives as necessary. Since the targets for the test are all considered equally in the SDM matrix, there is equal weighting of these target functions and the drives are updated to reduce the errors in a least-squares sense between the target SDM and measured SDM.

    3. Why MIMO Testing?

    There are several reasons why multi-exciters would be needed:

    • Insufficient Force from Single Shaker - When the force from a single shaker is not sufficient
    • Multiple Point Control Profile - When there are multiple control points with its own reference profile
    • Multi-Direction – When needing to excite simultaneously in multiple directions.

    The underlying objective is to replicate the real-world responses in a structure given differing boundary conditions in a laboratory setting.

    Single axis environmental testing has evolved in its technology and use since World War II when the military started to mandate suppliers provide these tests to qualify the products they were providing. The short-comings of this type of test continues to be recognized for not providing realistic test conditions compared to the real conditions a part or system would see in real life operation. Single axis testing, in many cases simply does not replicate the forces that parts would experience in real-world conditions. It has been shown that multi-axis testing can bring about failures in a shorter amount of time due to the interaction and cross-axis coupling of the excitation forces.

    There are several references given below on the studies done to show this. For example an automotive engine, like many industrial parts, experiences in-use forces from multiple directions simultaneously. Modeling under such complex conditions would predict fatigue and failure modes that are impossible to simulate with only one vibration direction or, for that matter, by sequential testing along different axes of the part. Testing with 3DOF, or even 6DOF, provides the best approach to mimic reality, by producing the off-axis contributions that may expose the greatest weakness in the part.

    With 3DOF testing, this can also provide the additional benefit of efficiency. With the multi-inputs and phases, the overall testing time can usually be reduced by at least a factor of three, compared with the sequential testing in three directions, and also often leading to a decrease in power input required to accomplish the task.

    Some companies are starting to grasp these concepts, and this type of testing is proving beneficial. Until recently, the problem has been these test rigs have not been easily created. With several companies now creating these rigs, the testing in MIMO (3 DOF) will accelerate. Hopefully the sharing of knowledge, and benefits of this testing will soon be passed on, and accepted by the testing community.

    4. Conclusion

    The ultimate goal for any environmental qualification test is to reproduce the realistic responses that are seen in the real operational conditions. In a lot of cases this can only be achieved with MIMO testing, and there is definitely a growing trend and interest in the test community in this direction. When there is a significant amount of coupling between the inputs to the system, then a MIMO Control strategy is required.

    There is also a lot of on-going work in the area of defining the target responses required for MIMO Control testing. The goals of the testing must be well defined to determine what is feasible for the test setup and what the success criteria should be. Lots of care is required in defining the test configuration and the physical setup of a MIMO test in order to ensure the responses are “Physically Realizable” given the test setup.

    The vibration testing community is nowadays living a technology shift: providers of excitation systems (shaker, loudspeakers) are providing more advanced systems for MIMO excitation, and in parallel, the vibration controllers are evolving to supply test engineers with the tools to carry out such tests. And most importantly, standards are being updated to reflect these technological and scientific advances. Of course each aspect of a MIMO test has its own challenge, including the test engineers themselves: MIMO tests are a lot more complex (physically and mathematically) to comprehend and execute than the ubiquitous single-axis vibration tests. But it is clear that MIMO tests are the future of dynamic environmental testing.

    The standards that have been written to support the MIMO Testing are:

    • MIL-STD-810G METHOD 527 - Multi-Exciter Testing
    • IEST-RP-DTE022: MULTI-SHAKER TEST AND CONTROL (Recommended Practice)

    If you have any questions about this please contact our Siemens Support Center , or email william.flynn@siemens.com, or post a comment to this article.

     

    Related Siemens Testing Community Articles:

    Related Internet Links to this article:

     

    Acknowledgments: Thanks to Jim Dumas of the Vibration Fatigue Laboratory (VFL) for his contributions to this article. 


    Powered by