Salesforce

Simcenter Testlab Impact Testing

« Go Back

Information

 
TitleSimcenter Testlab Impact Testing
URL Namesimcenter-testlab-impact-testing
Summary
Details


Direct YouTube link: https://youtu.be/3Vw6TqukNOo


*** Free Webinar - Fundamentals of Modal Testing ***


This article details how to measure Frequency Response Functions (FRFs) on a test object using Simcenter Testlab Impact Testing (formerly called LMS Test.Lab Impact Testing).

Contents:
1. Minimal Equipment Needed
2. Getting Started
3. Channel Setup
4. Impact Measurement Setup
   4.1 Trigger
   4.2 Bandwidth
   4.3 Windowing
5. Measure
6. All Settings Dialog

1. Minimal Equipment Needed

A minimum of two channels of data must be acquired to measure a structural FRF: an input force and the response output of a test object.

In an impact measurement, the input force is provided by a modal impact hammer, while the test object output response is measured with an accelerometer (Figure 1).

 

impact_equip.pngFigure 1: Impact measurement equipment

Here is a list of required equipment, some of which is shown in Figure 1:

2. Getting Started

To get started with Simcenter Testlab Impact Testing:

  • Turn on the SCADAS frontend, make sure it is connected to the PC
  • Double-click the Simcenter Testlab or LMS Test.Lab icon on the windows desktop (or navigate via Start menu)
  • Open up the “Structures Acquisition” folder.

Double-click the Impact Testing icon, as shown in Figure 2.

StartIcon.png

Figure 2: Double-click the Impact Testing icon to get started

Note: It is also possible to copy this icon onto your desktop to create a shortcut.

Once the software is open, a mostly grey screen is shown as in Figure 3. Click the white page icon in the top left to open a new project. The software will communicate to the SCADAS frontend to determine the number of available channels for the test, etc.

WhiteIcon.png
Figure 3: Click on the white page icon in the upper left to open a new project

 

After the new project is open, it is called “Project1.lms” by default. This is similar to how Microsoft Powerpoint starts with “Presentation1.pptx” or Microsoft Word starts with “Document1.docx”. Choose “File -> Save As…” from the main menu to save a project to the desired name as shown in Figure 4. The project file, which will have a *.lms extension, can be stored in any directory.

SaveAs.png
Figure 4: Choose “File -> Save As…” to save the project file
There are several ‘worksheets’ along the bottom of the screen as shown in Figure 4. To setup and perform an impact measurement, one works through the worksheets from left to right, starting with the ‘Documentation’ worksheet.

In the ‘Documentation’ worksheet, one can store pictures of the test and create documentation. See the knowledge base article called "What's up with the Documentation worksheet".

3. Channel Setup

After documenting the test, go to the ‘Channel Setup’ worksheet as shown in Figure 5. An Excel-like table contains a list of all the channels in the connected SCADAS frontend. Each row corresponds to one channel.

ChannelSetup.png
Figure 5: In the ‘Channel Setup’ worksheet, each row corresponds to one channel.

 

Assume a hammer is plugged into Channel 1, and an accelerometer is plugged into Channel 2. Enter following in the ‘Channel Setup’ worksheet as shown in Figure 6:

  • Turn ‘ON’ two channels (Input1 and Input2).
  • Turn ‘ON’ reference field for the hammer channel. The impact hammer should be marked as reference

Hammer_Accel.png
Figure 6: Setup the hammer and accelerometer information as shown.

 

For ‘Input1’, the impact hammer channel, enter the following in the fields as shown in Figure 6:

  • ChannelGroupId: Vibration
  • Point: This field is the description of where the impact hammer is applied to the structure. This is a free description field where anything can be entered (in this example: ‘hammer’). If the data will be used for a modal animation, the point should be filled in as component:number, for example: table:1 or frame:15
  • Direction: Selections include +X, -X, +Y, -Y, +Z, -Z. The direction is only needed if the FRF data collected will be used in a modal animation with a geometry, otherwise it can be set to ‘None’
  • InputMode: If using an ICP or IEPE transducer, this field should be set to ‘ICP’. This means the transducer will be powered by the SCADAS frontend directly. The transducer is therefore wired directly into the frontend with no external signal conditioners required
  • Measured Quantity: Force
  • Actual Sensitivity: Enter the calibration value found on the calibration sheet.
 
For an impact hammer this will be in units of mV/N as shown in Figure 7.

CalibrationSheet.png
Figure 7: The sensitivity value of the transducer can be found on the calibration sheet

 

For ‘Input2’, the accelerometer channel, enter the following in the fields as shown in Figure 6:

  • ChannelGroupId: Vibration
  • Point: This field is the description of where the accelerometer is located on the structure. This is a free description field where anything can be entered (in this example: ‘accel’). If the data will be used for a modal animation, the point should be filled in as component:number, for example: table:1 or frame:15
  • Direction: Selections include +X, -X, +Y, -Y, +Z, -Z. The direction is only needed if the FRF data collected will be used in a modal animation with a geometry, otherwise it can be set to ‘None’
  • Multi-Channel: When using a triaxial accelerometer, the Multi-channel field can be activated to make setting up the directions easier. See the "Cool Channel Setup Tricks for Accelerometers" knowledge base article
  • InputMode: If using an ICP or IEPE transducer, this field should be set to ‘ICP’. This means the transducer will be powered by the SCADAS frontend directly. The transducer is therefore wired directly into the frontend with no external signal conditioners required
  • Measured Quantity: Acceleration
  • Actual Sensitivity: Enter the calibration value found on the calibration sheet. For an accelerometer this will be in units of mV/g. If the accelerometer has a Transducer Electronic Data Sheet (TEDS) chip with the calibration value stored directly in it, it can be accessed by select “Read Teds” in the upper right corner as shown in Figure 8.

TEDS.png
Figure 8: TEDS allows the reading the sensitivity, serial number, model number of the accelerometer directly from a chip embedded in the transducer


Transducers with TEDS capabilities make it easy to enter the calibration value, serial number, etc even when the accelerometers are already mounted on the structure:

  1. Change ‘Channel Setup’ to ‘Read TEDS’
  2. Press the ‘Refresh’ button
  3. Any TEDS transducers appear in the list
  4. Press the ‘INSERT’ button at the bottom of the worksheet

Not all transducers have TEDS capability, or it may be optional when ordering. All Simcenter SCADAS frontends come with the ability to read TEDS as a standard feature.

Some helpful articles on Channel Setup:

4. Impact Measurement Setup

With the channel information entered, the impact measurement can be prepared. Select the ‘Impact Setup’ worksheet to do the following:

  • Setting the trigger
  • Checking the input frequency range
  • Determining a window.

In this worksheet, the impact measurement can be setup by following the sub-worksheets at the top of the screen as shown in Figure 9.

SubSheet.png
Figure 9: In the ‘Impact Setup’ worksheet, there are sub-worksheets to step thru an impact measurement setup.

 

The sub-worksheets are at the top of the screen and called ‘Trigger’, ‘Bandwidth’, ‘Windowing’, and ‘Driving Points’The sub-worksheets, located at the top of the screen, are ‘Trigger’, ‘Bandwidth’, ‘Windowing’, and ‘Driving Points’.

4.1 Trigger

The first step is to determine a trigger level that will make the measurement start automatically when the impact hammer strikes the object. In the ‘Impact Setup’ worksheet (Figure 10), there are instructions for setting up the hammer on the right side.

Trigger.png
Figure 10: ‘Trigger’ sub-worksheet is used to set the trigger

  1. Press the ‘Start Scope’ button
  2. Practice hitting the test object several times with the impact hammer
  3. Several impacts should show on screen
  4. Press ‘Stop Scope’ and ‘Apply Suggested’ buttons
  5. A black horizontal line is drawn on the screen which is the calculated trigger level

Note: Along with the trigger level being calculated, a pretrigger is also set. The pretigger is a small amount of time before the measurement is triggered to ensure the entire impact is recorded.

4.2 Bandwidth

In the next step, called ‘Bandwidth’, the input spectrum of the impact hammer is evaluated. To get a good Frequency Response Function (FRF) measurement, the impact hammer force should be uniform, or the same level, across the desired frequency range.

Bandwidth.png
Figure 11: ‘Bandwidth’ sub-worksheet

 

Depending on the company standard, the input force spectrum should be flat, with a drop-off of no more than 3 to 10 dB. Note that the rolloff of the top 20% of the frequency spectrum is due to the anti-aliasing filters in the SCADAS frontend.

  1. Press the ‘Start’ button
  2. Take two hits. In the upper left display, the input force spectrum is displayed.
  3. Press ‘Stop’ button

If the force does not span the frequency range before it rolls off, the modal impact hammer tip can be changed. For example, a soft rubber tip can be replaced by a hard metal tip to excite a higher frequency range. See the Test Knowledge base article: "What modal impact hammer tip should I use?"

4.3 Windowing

Next, enter the ‘Windowing’ sub-worksheet (Figure 12). Using a sample acquired measurement, a suitable window will be determined to assure that the measurement is not affected by leakage.

Window.png
Figure 12: ‘Windowing’ sub-worksheet

Do the following:

  1. Press the ‘Start’ button
  2. Impact the test object once
  3. Press the ‘Stop’ button
  4. Press ‘Apply Suggested’ button

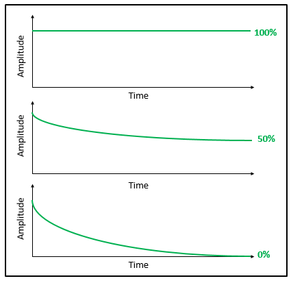
Ideally, no windows will be needed for the input or response. If the accelerometer response dies out completely in the measurement time frame, the software will be recommend an exponential window of 100%. An exponential window of 100% is equivalent to not applying a window, i.e., there is no reduction in the amplitude of the signal/window over the measurement time, as shown in the top graph of Figure 13.

ExponentialWindow.png
Figure 13: Various exponential windows and associated percentages

 

If the accelerometer response does not decay to zero within the measurement time frame, the response is multiplied by an exponential window to assure that it does decay to zero. An exponential window starts with a value of 1:

  • A 100% exponential window still has a value of 1 at the end of measurement
  • A 50% exponential window reduces the windowed signal amplitude by 50% at the end of the measurement
  • A 0% exponential window reduces the amplitude of the windowed signal to zero by the end of the measurement

As shown in Figure 14, if an exponential window was applied, additional artificial damping is added to the FRF measurement.

ArtificalDamping.png
Figure 14: If used, an exponential window will add additional artificial damping to a measurement

 

This artificial damping is one reason to try and avoid a window. If the measurement does not reduce to zero by itself in the measurement time, it is preferable to increase the measurement time, rather than apply a window. See the Testing Knowledge Base article "How to calculate damping from a FRF?" for more details.

5. Measure

With setup finished, the actual FRF measurement can be performed in the ‘Measure’ worksheet as shown in Figure 15.

Measure.png
Figure 15: ‘Measure’ worksheet

In the ‘Measure’ worksheet:

  1. Set the number of averages as desired
  2. Press the ‘Start’ button. Hit the object.
  3. Monitor the FRF and coherence after each hit. Measurements are automatically accepted by default. If an undesirable measurement occurs, press the ‘Reject’ button.
  4. Optional: Under ‘All settings’, turn on double hit and overload detection/rejection if desired

When doing the FRF measurement, be sure to monitor the coherence function in the bottom right display. The coherence function indicates how much of the output is due to the input by checking the variation from measurement average to measurement average:

  • A coherence of close to 1 indicates that the measurement is repeatable
  • A coherence of 0 indicates the measurement is not repeatable

The majority of the frequency range should ideally have coherence value close to 1, with the only exceptions occurring at anti-resonance frequencies where the response is low and affected by the measurement system noise (Figure 16).

FRFandCoherence.png
Figure 16 – Coherence (top display) should be close to 1, with the only exceptions occurring at anti-resonances in the FRF (bottom display)

 

For more information on coherence, see the knowledge base article "What is a Frequency Response Function (FRF)?".

When the averages are completed, the FRF measurement is automatically stored in the Simcenter Testlab project file.

6. All Settings Dialog

There are more settings available in both the Impact Setup and Measure worksheets by pressing 'All Settings' in the upper right hand corner as shown in Figure 17.

settings.png
Figure 17 - By pressing the 'All Settings' in the upper right hand corner, additional settings can be made, like measuring dynamic stiffness in addition to the FRF

Additional settings include:

Simcenter Testlab Neo Impact Acquisition includes a helpful additional feature called Smart Hit Selection that is not available in Simcenter Testlab "Classic" impact testing.


Questions? Post a reply, email peter.schaldenbrand@siemens.com or contact Siemens Support Center.

Also check out the Modal Testing Seminar for more information.

Related Structural Dynamics Links:

Other Articles:


Powered by